DEFLEZIONE LINEARE FOREAK SPORT BMW S1000RR K46 (15-18)
DEFLEZIONE LINEARE FOREAK SPORT BMW S1000RR K46 (15-18)
Tempi di consegna su richiesta
Deflezione lineare - per BMW S1000RR K46 (2015-2018) da Forsaken Motorsport
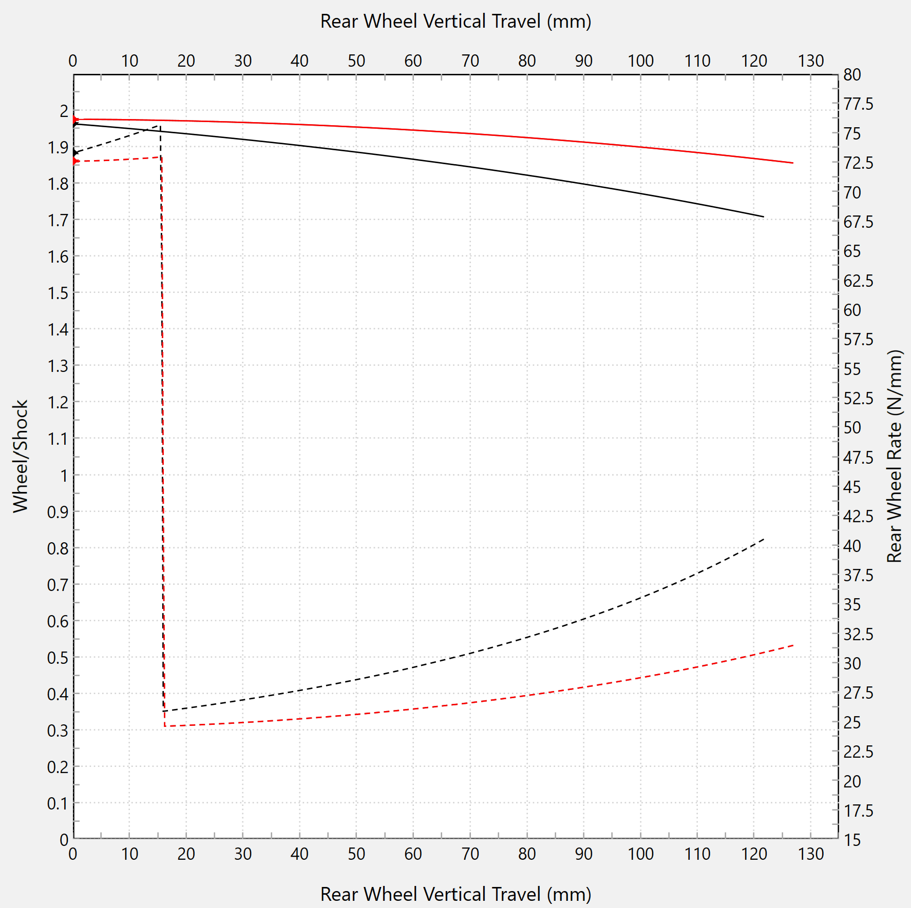
IL Deflessione lineare del motorsport abbandonato è stato appositamente sviluppato per la BMW S1000RR K46 (2015-2018). Grazie alla sua capacità di ottimizzare il tasso di sospensione progressiva, offre una migliore trazione e trasmissione di potenza. Ideale per i conducenti esigenti che vogliono coordinare individualmente il loro telaio.
Nota importante:
Solo in nero anodizzato disponibile.
Proprietà e vantaggi:
-
Tasso di sospensione ottimizzato:
- Trasforma il tasso di sospensione progressivo in uno più lineare, che migliora significativamente la trazione e la trasmissione di potenza.
-
Produzione precisa:
- Il CNC ha macinato da un blocco di alluminio con l'HAAS VM3, internamente internamente a Forsaken Motorsport in Canada.
-
Elevata stabilità:
- 35 % più rigido della deflessione originale, deformazioni ridotte al carico.
-
Adattabile:
- La primavera seriale continua a essere utilizzata, ma può essere scambiata a seconda delle preferenze del conducente.
- Controllo della valvola adattabile per l'uso ottimale della velocità progressiva più piatta.
-
Installazione semplice:
- Consegna di archiviazione con nuova BMW; Le viti, le maniche e le guarnizioni originali possono essere riutilizzate.
Dati tecnici:
-
Componenti nel kit:
- Due leve di deflessione.
- Una deflessione.
-
Un avviso:
- Adatto solo per una guida singola, nessuna operazione passeggeri possibile.
La disponibilità per il ritiro non è riuscita a caricarsi
Chi Siamo
Chi Siamo
La nostra passione per la qualità e l'innovazione ci spinge a offrirti i migliori prodotti e servizi per gli amanti delle moto. Dai componenti ad alte prestazioni esclusivi a soluzioni personalizzate – da noi l'esperienza di guida è al centro.
Spedizioni e Resi
Spedizioni e Resi
Spediamo con DHL e FedEx – su richiesta anche con spedizione espressa. Se un articolo è disponibile, la spedizione espressa può avvenire in molti casi entro 1 giorno lavorativo. Il tempo di consegna standard è di circa 2-5 giorni lavorativi a livello nazionale e generalmente circa 1 settimana a livello globale. Ti preghiamo di controllare le opzioni di spedizione disponibili e i tempi nel carrello, poiché offriamo diversi corrieri a seconda del paese.
Le restituzioni devono essere registrate in anticipo via email e sono possibili secondo la nostra informativa sui diritti di recesso (14 giorni per richiedere il reso + 14 giorni per la restituzione dopo l'approvazione). Si prega di notare: le restituzioni non registrate non verranno accettate. Tutti i dettagli sulle condizioni, le eccezioni e i rimborsi sono disponibili nella nostra informativa sui diritti di recesso.
Le tue informazioni di pagamento vengono elaborate in modo sicuro. Non memorizziamo i dati della carta di credito e non abbiamo accesso alle tue informazioni sulla carta di credito.
Maggiore informazione nelle nostre FAQ
Scrivi una e-mail al nostro team – ti risponderemo il prima possibile.
Quanto tempo ci vuole per elaborare il mio ordine?
Quanto tempo ci vuole per elaborare il mio ordine?
Se l'articolo è disponibile, di solito elaboriamo il tuo ordine molto rapidamente, spesso viene spedito lo stesso giorno.
I nostri orari di elaborazione sono da lunedì a venerdì, 07:30–16:30.
Spedite a livello internazionale?
Spedite a livello internazionale?
Sì, spediamo in tutto il mondo. La spedizione avviene a seconda del paese e della scelta con DHL o FedEx.
Qual è la vostra politica di restituzione?
Qual è la vostra politica di restituzione?
Le restituzioni devono essere registrate via e-mail in anticipo. Puoi richiedere una restituzione entro 14 giorni dal ricevimento e hai ulteriori 14 giorni dopo l'approvazione per la restituzione.
Importante: Le restituzioni non registrate non vengono accettate. Tutti i dettagli sono disponibili nella nostra informativa di recesso.
Cosa significa "tempo di consegna su richiesta"?
Cosa significa "tempo di consegna su richiesta"?
"Tempo di consegna su richiesta" significa che l'articolo di solito non è direttamente disponibile e potrebbe dover essere ordinato separatamente. Ti preghiamo di contattarci prima dell'acquisto – verificheremo la disponibilità e ti comunicheremo il tempo di consegna previsto.
Offrite spedizione espressa?
Offrite spedizione espressa?
Sì, offriamo spedizione espressa. Se un articolo è disponibile, la spedizione può avvenire in molti casi entro 1 giorno lavorativo (a seconda del paese e dell'opzione di spedizione). Le modalità di spedizione disponibili sono visibili nel carrello.

